计算机网络 - 习题
学习通布置的习题 截图和做题来源于这个视频,讲的真得不错
【【乱讲的】《计算机网络》(第 8 版)课后习题讲解】 https://www.bilibili.com/video/BV1kz4y1J7nu/?p=4&share_source=copy_web&vd_source=c54d80bcecab73106d2ce0f2532da83d


第 2 章 物理层
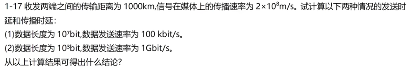
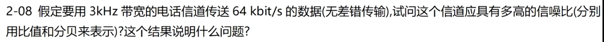
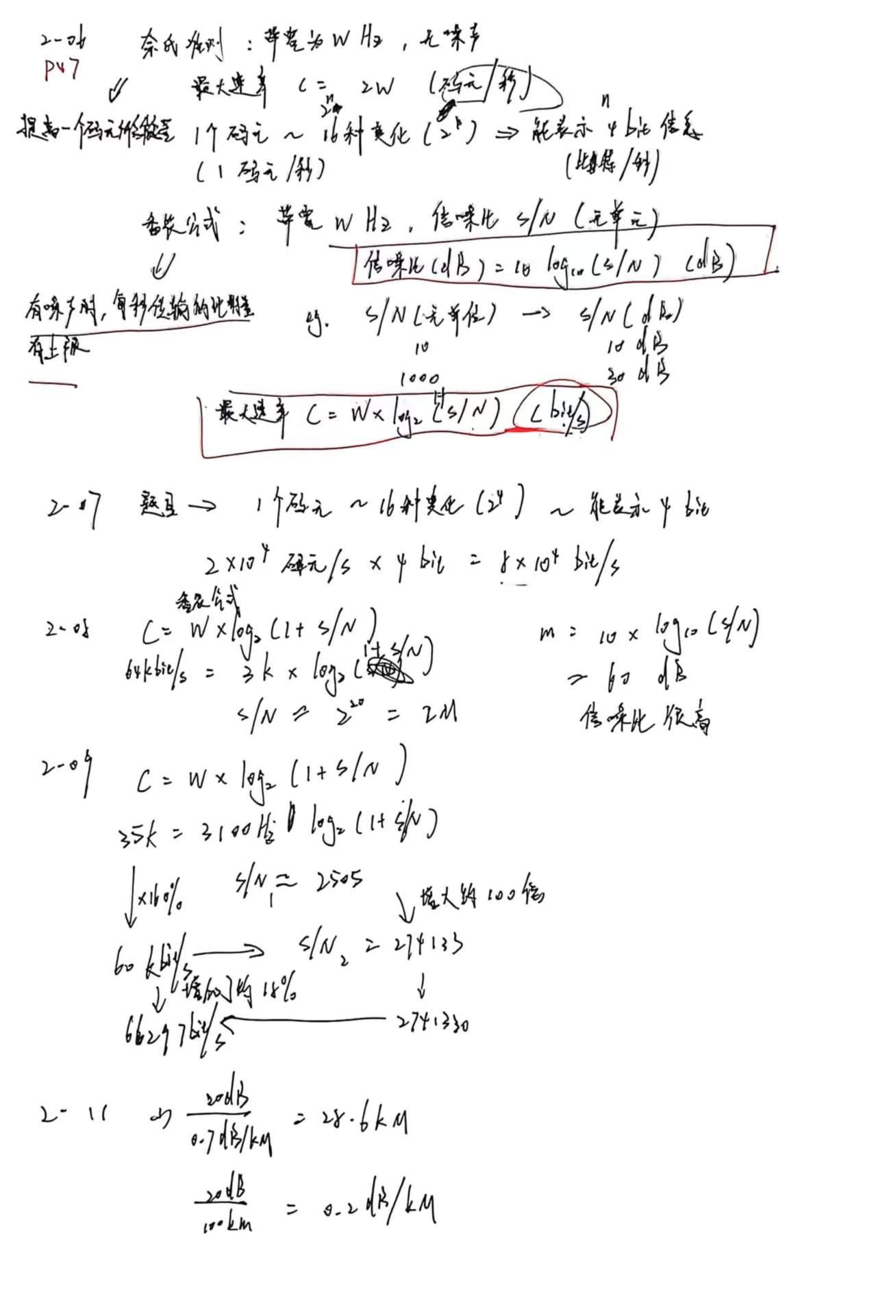
2-04,2-06,2-07,2-08,2-09,2-11,2-12,2-13,2-15,2-16











第 3 章 数据链路层
3-02,3-03,3-06,3-07,3-08,3-09,3-14,3-27










第 4 章 网络层
4-17,4-18,4-19,4-25,4-27,4-28,4-29,4-30,4-31,4-35,4-37,4-41,4-43

















第 5 章 运输层
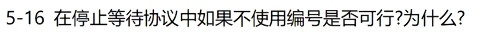
5-08、5-09,5-12,5-13,5-14,5-16,5-21,5-23



下面题不在考试范围内,没有整理





